< Предыдущая пр.работа   |   Система команд

Практическая работа №5. Изучение команд передачи управления. Реализация разветвляющего алгоритма.

Задание:

    1. Нарисовать блок-схему алгоритма, реализующего заданного выражения.
    2. Составить программу на языке Ассемблер.
    3. Написать листинг программы, начиная с адреса 8000h и определить PSW.

№ Варианта

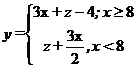
Выражение

Исходные данные

 

№1

 

 

 

Z = M [8100]

X = M [8101]

Y = M [8102]

 

 

№2

 

 

 

 

X = M [8103]

Y = M [8104]

Z = M [8105]

 

 

№3

 

 

 

 

Z = M [8100]

X = M [8101]

Y = M [8102]

 

 

 

№4

 

 

 

 

X = M [8100]

Y = M [8101]

Z = M [8105]

 

 

№5

 

 

 

 

Z = M [8100]

X = M [8101]

Y = M [8103]

 

 

 

№6

 

 

 

 

X = M [8105]

Y = M [8106]

Z = M [8104]

 

 

№7

 

 

 

 

Z = M [8100]

X = M [8102]

Y = M [8101]

 

 

 

№8

 

 

 

 

X = M [8100]

Y = M [8102]

Z = M [8101]

 

 

№9

 

 

 

 

X = M [8100]

Y = M [8101]

 

 

 

№10

 

 

 

 

X = M [8101]

Y = M [8102]

 

 

 

№11

 

 

 

 

Z = M [8100]

X = M [8101]

Y = M [8103]

 

 

 

№12

 

 

 

 

X = M [8100]

Y = M [8101]

W = M [8102]

Z = M [8103]

 


< Предыдущая пр.работа   |   Система команд